产品搜索
结构搜索
全站搜索
当前位置: 行业资讯
一种阿德福韦酯|142340-99-6|的合成方法
阿德福韦酯|142340-99-6|是一种治疗慢性肝炎的有效药物,是阿德福韦|106941-25-7的前体,通过在体内快速转化为阿德福韦后发挥抗病毒作用。阿德福韦酯|142340-99-6具有耐药发生率低、发生耐药的时间晚、长期用药安全性好、临床效率高等特点。因此,阿德福韦酯仍然具有较好的市场前景。
近年来,已公开的阿德福韦酯|142340-99-6的制备方法有多种,今天小编给大家介绍一种不需要使用相转移催化剂,低成本低风险,且高析出率且适合大规模化生产的阿德福韦酯合成方法。
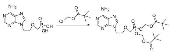
阿德福韦酯|142340-99-6的合成方法主要是以阿德福韦|106941-25-7为原料,与特戊酸氯甲酯进行缩合反应得到,反应方程式如下:

具体步骤:
步骤一:取阿德福韦|106941-25-7,加入有机溶剂N-甲基吡咯烷酮或N,N-二甲基甲酰胺或二甲基亚砜和酸吸附剂(三乙胺或吡啶),然后在55-65℃时加入特戊酸氯甲酯,注意阿德福韦、特戊酸氯甲酯和酸吸附剂的摩尔比为1:4.5-4.98:3-3.5,加热反应,监测反应完全;
步骤二:加入乙酸乙酯,洗涤,干燥,浓缩,搅拌下加入C5-C6醚(优选甲基叔丁基醚),然后经过析晶,过滤,干燥,从而得到阿德福韦酯粗品。
步骤三:取阿德福韦酯粗品,用混合纯化溶剂加热至40-45℃溶解,混合溶剂为纯化溶剂和C5-C6醚的混合物,优选体积比为1:4的乙酸乙酯和甲基叔丁基醚的混合物,阿德福韦酯粗品与混合溶剂的固液比为1g:8.5-11mL,优选为1g:9.1-10.1mL。然后进行过滤,再加入C5-C6醚,室温情况下搅拌6-8h,10-15℃析晶,抽滤,适量C5-C6醚泡洗结晶,滤干,鼓风干燥,得阿德福韦酯纯品。
相关链接:阿德福韦
参考文献:一种阿德福韦酯的合成方法 CN110483575A