产品搜索
结构搜索
全站搜索
当前位置: 行业资讯
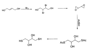
一种高效低成本的二硫苏糖醇(DTT) 3483-12-3制备工艺
2020-02-27
来源:转载自第三方
二硫苏糖醇,又叫二巯基苏糖醇,简称DTT,CAS:3483-12-3,是一种小分子还原剂,具有很强的还原性,有抗氧化作用,它能保护酶分子上的还原性基团,维持还原性环境,稳定酶的活性。广泛应用于分子生物学,药理学、体外诊断等领域。
二硫苏糖醇(DTT)是亚科股份的优势产品,本文将介绍这一种高效低成本合成二硫苏糖醇(DTT)的方法。具体步骤如下:
步骤一:将酒石酸二甲酯2与丙酮缩二甲醇混合物在甲苯磺酸、苯磺酸、甲基磺酸中任一种酸催化剂作用下,在二氯甲烷、苯、甲苯、环己烷、石油醚中的一种或其混合溶剂中反应,得到2,3-O-异亚丙基酒石酸二甲酯化合物。
步骤二:0-50℃温度下,将2,3-O-异亚丙基酒石酸二甲酯化合物与硼氢化钠在甲醇中反应,得到2,3-O-异亚丙基苏醇化合物;
步骤三:再将步骤二所得产物与磺酰氯(甲基苯磺酰氯、苯磺酰氯、甲基磺酰氯中的一种 )在氢化钠、三乙胺、吡啶、氯化锂、碳酸钾、碳酸钠中的一种或其中的几种混合碱的作用下反应,得到2,3-O-异亚丙基苏醇磺酸酯化合物。
步骤四:2,3-O-异亚丙基苏醇磺酸酯与硫代乙酸盐在有机溶剂中反应,得到2,3-O-异亚丙基二硫苏糖醇二乙酸酯。
步骤五:将2,3-O-异亚丙基二硫苏糖醇二乙酸酯在20%到50%的氢氧化钠或氢氧化钾水溶液中水解,得到目标化合物二硫苏糖醇。其合成路线如下:

这种方法存在反应步骤繁琐的缺点,但反应条件温和,收率高,纯度高,适合工业化生产。
相关链接:二硫苏糖醇
参考文献:CN103073462A 一种二硫苏糖醇的制备方法
如果涉及转载授权,请联系我们。