产品搜索
结构搜索
全站搜索
当前位置: 行业资讯
甲醛检测常用方法,酚试剂(MBTH)法和AHMT法孰优孰劣?
甲醛已成为我国室内主要污染物之一,对人体健康有很大危害,甲醛检测已经成为有效监控环境中甲醛含量的有效方式。目前检测甲醛的方法主要要酚试剂酚试剂(MBTH)|38894-11-0|分光光度法和AHMT|1750-12-5|分光光度法。本文将介绍酚试剂(MBTH)法和AHMT法检测甲醛的区别。
首先,酚试剂(MBTH)法和AHMT法的检测原理不同。
酚试剂3-甲基-2-苯并噻唑啉酮腙盐酸盐水合物(MBTH)检测原理为3-甲基-2-苯并噻唑啉酮腙盐酸盐水合物(酚试剂)对于醛类具有极高的灵敏度,空气中的甲醛与3-甲基-2-苯并噻唑啉酮腙盐酸盐水合物反应生成嗪,嗪在酸性溶液中被高铁离子氧化形成蓝绿色化合物,同时根据颜色深浅,能够比色定量甲醛的浓度。反应过程如下:
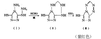
4-氨基-3-肼基-5-巯基-1,2,4-三氮唑(AHMT)法的原理为 4-氨基-3-肼基-5-巯基-1,2,4-三氮唑 (AHMT) 在碱性条件下与甲醛进行缩合反应;高碘酸钾可将反应产物氧化成紫红色化合物,其颜色的深浅与甲醛含量成正比,通过体系的吸光度可计算定量甲醛的浓度。反应过程如下:
根据检测原理可得出,酚试剂(MBTH)法和AHMT法的氧化条件不同。
酚试剂(MBTH)法的氧化条件是盐酸存在的酸性条件,而AHMT法则为氢氧化钾存在的碱性环境。
再者,酚试剂(MBTH)法和AHMT法所用试剂类型不同。
酚试剂(MBTH)法吸收液为反应物酚试剂一种,如MBTH,而AHMT法的吸收液为稳定剂(三乙醇胺)、抗干扰剂(EDTA)和吸附剂的组合。
此外,酚试剂(MBTH)法和AHMT法的受限因素不同。酚试剂(MBTH)法反应受温度限制,如果室温低于15℃,可能导致显色不完全,吸收原液需置于冰箱中冷藏且保质期只有3天。而AHMT分光光度法抗干扰能力较强,试剂稳定,样品保留时间长达7天。
综上,酚试剂(MBTH)分光光度法和AHMT 分光光度法对甲醛的灵敏度都比较高,能够满足室内空气中微量甲醛的检测。不过酚试剂(MBTH)分光光度法检测结果会受到其它脂肪醛类以及环境的干扰,AHMT分光光度法的选择性较好, 且其灵敏度较高, 可准确检测空气中甲醛的浓度,所以AHMT分光光度法被认为是检测水中、空气中甲醛含量的优质选择。
相关链接:MBTH|38894-11-0|、 AHMT|1750-12-5|