产品搜索
结构搜索
全站搜索
当前位置: 行业资讯
CAS:935-79-5| THPA在阻燃剂中的应用
产品名称: 顺-1,2,3,6-四氢邻苯二甲酸酐
别名:四氢苯酐、四氢酐、四氢邻苯二甲酸酐
英文名称:cis-1,2,3,6-Tetrahydrophthalic anhydride
英文简称:THPA
CAS:935-79-5
分子式: C8H8O3
货号:S1112
结构式:

产品简介
四氢苯酐(THPA)是一种重要的化工产品,其主要用途是作为环氧树脂的固化剂,不饱和聚酯树脂和醇酸树脂的改性剂,同时还是农药及医药品合成的重要中间体。此外THPA还可应用于阻燃剂领域。
四氢苯酐应用领域
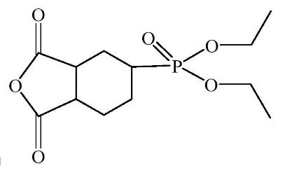
由于高分子材料具有可燃性的原因,热塑性和热固性聚合物在许多应用中需要使用阻燃剂。通常卤代化合物被用作聚合物中的阻燃添加剂。但是,由于传统卤素阻燃剂在燃烧时生成较多的烟和释放有刺激性和腐蚀性气体,污染环境,危害人体健康,欧盟已于2006年禁止使用卤素阻燃剂。现有技术中显示有机磷化合物可对聚合物赋予阻燃性,但是由于其具有迁移性以及部分阻燃剂易溶于水,因此,材料的阻燃性能会逐渐减弱,并且迁出的小分子容易污染环境;另一方面,高分子材料的加工往往需要200℃以上的高温环境,高温环境下阻燃剂往往会分解或者参与某些副反应,使阻燃性能丧失并且还会影响材料的机械性能。因此,CN112442083A专利开发了一种带有酸酐的含磷阻燃剂及其制备方法和应用。该带有酸酐的含磷阻燃剂结构如下:

首先将1mol四氢苯酐、1mol亚磷酸二乙酯和500mL冰醋酸加入反应釜中,在氮气保护下、65℃搅拌混匀;然后向反应釜中逐滴加入1mmol铂催化剂的冰醋酸溶液,继续反应15h;最后分离纯化产物,得到目标产物。
该带有酸酐的含磷阻燃剂可以作为反应单体或扩链剂参与到高分子的聚合反应中,该阻燃剂的含磷基团以化学键的形式存在于高分子材料中,不存在小分子析出现象,也不会溶于水而析出,可以实现永久阻燃。
参考文献
CN112442083A 一种带有酸酐的含磷阻燃剂及其制备方法和应用.