结构搜索

    全站搜索

    在线客服

  •  诊断医药客服  新材料客服

    当前位置: 行业资讯

基于配体消旋化以构筑金属有机框架材料的拟离散孔道策略,用于丙烯和丙烷的热力学-动力学协同分离

2024-01-09 来源:转载自第三方

本文转自x-mol
丙烯作为化工能源领域中重要的生产原料,在其生产过程中常伴随着等丙烷杂质,需要进行分离提纯以去除丙烷达到聚合级纯度。由于丙烯丙烷间极其相近的分子尺寸以及沸点使得丙烯/丙烷的分离成为石油化工行业中最具挑战性的过程之一。相较于传统深冷精馏分离方法的高能耗、设备投资高等缺点,基于多孔吸附剂材料的吸附分离技术在节能和效率方面更具优势。
尽管近年来丙烯丙烷吸附分离领域已取得较大进展,热力学分离过程中脱附的高能耗以及动力学分离过程中客体分子亲和力差异小等问题仍掣肘了该技术的进一步工业化应用。实际分离过程中,分离效率同时受到热力学和动力学效应的影响。因此,如何对吸附剂材料的孔隙结构及化学环境进行精细设计,以实现热力学-动力学协同分离具有重大意义。
近期,浙江大学化学工程与生物工程学院鲍宗必教授团队报道了一种基于配体消旋化以构筑金属有机框架材料的拟离散孔道策略,在丙烯和丙烷的热力学-动力学协同分离取得重要进展。

Figure 1. Schematic illustration of ligand racemization strategy to construct quasi-discrete pores in MOFs for thermodynamic-kinetic synergistic separation of propylene and propane.
该团队分别基于对映纯苹果酸和外消旋苹果酸合成了两种拓补结构的MOFs材料,分别为L-mal-MOF(或D-mal-MOF)和DL-mal-MOF。L-mal-MOF(或D-mal-MOF)具有孔径较为均一的一维孔道(5.3 Å × 5.5 Å),而DL-mal-MOF由于配体中的手性羟基的交错排列,其孔道表现出周期性的收缩-扩张,其孔腔尺寸为5.5 × 6.0 × 9.5 Å3,孔窗尺寸仅为4.2 Å。DL-mal-MOF中收缩的拟离散孔结构有望扩大丙烯和丙烷之间扩散速率的差异,并且富氧的孔隙环境以及与客体分子尺寸相当的孔径有望增强对客体分子的结合亲和力和微孔限制效应。

Figure 2. Illustration of the topology and pore structure of L- mal-MOF and DL- mal-MOF. (a) Synthesis and corresponding topological structure of L-mal-MOF; (b) Synthesis and corresponding topological structure of DL-mal-MOF; (c) Building blocks and simplified illustration of the structures; Visualization of the porous structure of L-mal-MOF(d) and DL- mal-MOF (e).
与预期一致的是,通过配体消旋化,DL-mal-MOF对于丙烯丙烷的热力学选择性及动力学选择性相较于L-mal-MOF均有极大程度的提高。DL-mal-MOF对丙烯丙烷的热力学-动力学协同选择性高达62.6,远超于文献报道的绝大多数MOFs材料。

Figure 3. (a) Adsorption isotherms of C3H6 and C3H8 on D-mal-MOF and DL-mal-MOF at 298 K; (b) Adsorption isotherms of C3H6 and C3H8 on DL-mal-MOF at low pressures (0-1 kPa) and at 298 K; Time-dependent gas uptake profiles of C3H6 and C3H8 at 298 K and 100 kPa on (c) L-mal-MOF and (d) D-mal-MOF; (e) Fitting of diffusion time constants of C3H6 and C3H8 in DL-mal-MOF; MD-derived self-diffusion rates of C3H6 and C3H8 in (f) L-mal-MOF and (g) DL-mal-MOF; (h) Comparison of C3H6/C3H8 adsorption separation performance among representative MOFs; (i) Comparison of the Henry’s constant for C3H6 adsorption among top performing MOFs; (j) Comparison of the combined equilibrium-kinetic selectivity of C3H6/C3H8 among reported adsorbents.
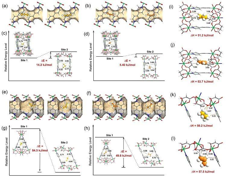
通过色散校正密度泛函理论(DFT-D)计算和分子动力学(MD)模拟,从分子尺度证实了DL-mal-MOF中具有周期性收缩-扩张特征的拟离散孔道对丙烯丙烷具有不同的扩散能垒从而增强了材料对丙烯丙烷的动力学扩散差异,并且材料的富氧环境对丙烯丙烷具有不同的亲和力差异。

Figure 4. Schematic diagrams of (a) C3H8 and (b) C3H6 molecules navigating through the one-dimension channel of L-mal-MOF; (c) C3H8 and (d) C3H6 interacting with the pyridine ring via C-H∙∙∙π interactions at different sites, along with the corresponding energy levels in L-MOF. Diagrams of (e) C3H8 and (f) C3H6 molecules moving through the one-dimension channel of DL-mal-MOF; (g) C3H8 and (h) C3H6 interacting with the pyridine ring via C-H∙∙∙π interactions at different sites, and their corresponding energy levels in DL-mal-MOF. DFT-calculated binding configurations of (i) C3H6 and (j) C3H8 on L-mal-MOF; DFT-calculated binding configurations of (k) C3H6 and (l) C3H8 on DL-mal-MOF.
固定床穿透实验证实了DL-mal-MOF对丙烯丙烷出色的分离性能以及高的高纯丙烯回收率。材料优异的稳定性和易于再生性能凸显了其在丙烯纯化应用中的潜力。

Figure 5. Experimental breakthrough curves of (a) C3H6/C3H8 (50/50, v/v) and (c) C3H6/C3H8 (95/5, v/v) at 298 K and 1.0 bar on DL-mal-MOF with a flow rate of 2.0 mL/min. Experimental desorption curves of (b) C3H6/C3H8 (50/50, v/v) and (d) C3H6/C3H8 (95/5, v/v) at 423 K and 1.0 bar on DL-mal-MOF with a He flow rate of 12.0 mL/min. (e) Recycling breakthrough tests of C3H6/C3H8 on DL-mal-MOF; (f) Adsorption-desorption cycling of C3H6 on DL-mal-MOF for 20 consecutive adsorption cycles at 303 K
这一成果近期发表在国际顶尖期刊Journal of the American Chemical Society 上。此研究工作的第一作者为浙江大学化学工程与生物工程学院硕士毕业生黄鑫磊。通讯作者为浙江大学化学工程与生物工程学院鲍宗必教授


如果涉及转载授权,请联系我们。

苏州地址:苏州工业园区方洲路128号 邮编:215125
电话:0512-87182055 邮箱:sales@yacoo.com.cn
宿迁地址:宿迁市宿豫区电商产业园谷客大厦(A9栋)一楼 邮编:223801
山东地址:山东济宁市新材料产业园区 邮编:272211
安徽地址:安徽安庆市安庆高新区皇冠路8号 邮编:246005
海外公司名称: Yacoo Science America LLC
海外地址:14 Cypress Bayou Court, Spring, TX 77382
© 2010 苏州亚科科技股份有限公司[苏ICP备15045967号]
亚科信息管理平台   用户登录   站内地图