结构搜索

    全站搜索

    在线客服

  •  诊断医药客服  新材料客服

    当前位置: 行业资讯

微波辅助快速热解构筑MOF基单原子Ni催化剂:安培级电流电催化CO2还原

2024-01-26 来源:转载自第三方

       单原子催化剂(SACs)实现了催化活性位在原子尺度上的均匀分散并且具有独特的几何/电子结构,近年来成为催化领域的研究热点。在众多SACs的载体中,多孔碳因表面积大、导电好、稳定性高、易于调控等被广泛应用。通常情况下,碳载单原子催化剂是利用传统电加热设备(主要是管式炉)在700 °C或更高温度热解含有金属的有机前体获得的。通常需要长的加热时间(往往是几小时)、高的能量输入以及惰性气体保护,显著降低了时间、能量效率,操作成本高。此外,长时间加热极易导致金属原子迁移团聚,给SACs的合成带来挑战。因此,开发出更高效、节能、快速且易于操作的碳化方法对单原子合成具有重要意义。
       微波加热区别于传统电加热依靠低效热传导过程(从设备到样品),微波加热中微波可以直接被样品吸收,高效转化为热能,能够实现短时间内快速加热,这将克服传统电加热的弊端同时有效抑制SACs制备中金属原子的迁移团聚。然而,由于大多数有机前体的微波吸收能力较差,微波辐照热效应不明显,很难通过微波加热有机前体实现直接热解碳化获得碳载SACs。在前驱体中引入微波吸收介质将有可能解决上述问题,为微波加热获得碳基SACs提供了一种潜在可能。
       除了加热技术,合适的前驱体的选择对碳载SACs合成和性能也至关重要。金属有机骨架(MOFs)具有结构和成分上极大的灵活性,显示出广阔的应用前景。在热解过程中,MOF的结构和成分优势可以在很大程度上继承到碳基材料中,使其成为制造碳基SACs的理想前驱体。基于上述分析,微波加热技术与MOF前驱体的结合应该是构建碳基SACs的理想策略。

图1. 微波辅助快速热解制备Ni1-N-C示意图。
近日,中国科学技术大学江海龙教授、焦龙特任教授联合郑州大学臧双全教授提出了一种简单普适的微波辅助快速热解策略,利用ZnCl2/KCl作为微波吸收介质,以Ni掺杂的沸石咪唑骨架的MOF(Ni-ZIF-8)为前体,在无惰性气体保护下,仅3分钟就获得了碳载单原子Ni催化剂(Ni1-N-C)(图1)。最优的Ni1-N-C催化剂在电化学CO2还原中表现出安培级CO电流密度(1.06 A/cm2),同时CO法拉第效率(FECO)高达96%,优于传统电加热制备的催化剂。
作者首先合成了Ni掺杂ZIF-8作为制备SACs的前体。为了增强微波吸收能力,选择具有强微波吸收能力的极性化合物ZnCl2作为微波吸收剂与Ni-ZIF-8混合,Ni-ZIF-8在3分钟内成功碳化。由于ZnCl2的低熔点(283 °C)很容易形成熔融流体,从而在Ni-ZIF-8周围提供隔离作用,在没有惰性气体保护的情况下实现Ni-ZIF-8的碳化。然而单独靠ZnCl2吸收微波引起的碳化温度相对较低。进一步引入KCl作为助剂,大大增强了微波吸收并诱导了更高的加热温度。
基于上述结果,在3分钟内通过微波辐射成功制备了一系列Ni1-N-C-X(X=15、50和100, 0.15、0.50和1.00对应于KCl/Ni-ZIF-8质量比)催化剂(图2a)。Ni1-N-C-X(X=15、50和100)与通过常规电加热(900 °C,N2,2小时)制备的Ni1-N-C-furnace具有相当的碳化程度。

图2. a)Ni-ZIF-8的扫描电镜(SEM)图。b)Ni1-N-C-50的SEM图。c)Ni1-N-C-50的透射电镜(TEM)图。d)Ni1-N-C-50的球差校正HAADF-STEM图。
从电镜图中可以看出,热解得到的Ni1-N-C材料继承了Ni-ZIF-8的形貌,并且没有明显的金属纳米颗粒存在(图2a-2c)。从球差电镜可以观测到大量的单原子存在于碳载体上(图2d)。
此外XPS和同步辐射近边吸收谱显示,Ni1-N-C-X(X=15、50和100)中Ni处于正价态的Niδ+(0<δ<2)(图3a,3b)。傅立叶变换扩展X射线吸收精细结构(FT-EXAFS)光谱证实了Ni1-N-C-X(X=15、50和100)中Ni的原子分散性,并且以Ni-N4的构型存在(图3c,3d)。

图3. a)Ni1-N-C-15、Ni1-N-C-50和Ni1-N-C-100的Ni 2P XPS表征。b)Ni的K-edge XANES光谱。c)Ni1-N-C-15、Ni1-N-C-50、Ni1-N-C-100的FT-EXAFS光谱。d)Ni1-N-C-50的EXAFS拟合。
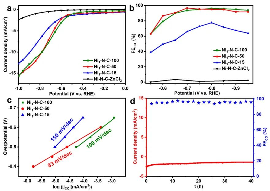
H-cell中的电催化性能研究发现,Ni1-N-C-50在0.5 M KHCO3溶液中具有更高的电流响应和FECO以及最低的Tafel斜率以及优异的稳定性(图4)。

图4. H-cell中a)Ni-N-C-ZnCl2和Ni1-N-C-X(X=15、50和100)的LSV曲线。b)Ni-N-C-ZnCl2和Ni1-N-C-X(X=15、50和100)的FECO。c)Ni1-N-C-X(X=15、50和100)的Tafel图。d)Ni1-N-C-50的稳定性测试。
进一步,通过近常压XPS测试可以看出Ni1-N-C-50比Ni1-N-C-15更大的化学吸附的CO2δ–比例,表明Ni1-N-C-50具有更好的CO2吸附和活化能力(图5a)。此外,电化学原位红外光谱测量表明,Ni1-N-C-50的*COOH峰比Ni1-N-C-15出现在更低电势,并且CO2消耗更加显著,支持了Ni1-N-C-50更好的性能(图5b)。

图5. a)近常压XPS分析CO2在Ni1-N-C-50上的吸附。b)Ni1-N-C-50在CO2还原过程中的原位红外光谱。
流动池中微波合成具有介孔结构的Ni1-N-C-50显示出高达1.06 A/cm2的CO电流密度,同时还能保持96%的FECO,远优于通过传统电加热制备具有微孔结构的Ni1-N-C-furnace(图6a-d)。此外通过一系列对照实验验证了介孔结构对高电流密度的重要性。该微波加热方法具有极强普适性,适用于不同有机前驱体(MOF、非MOF均可)而且很容易实现Ni1-N-C-50(~10 g)的大规模合成。

图6. 流动池中电催化性能。a)用于CO2电还原气体扩散电极的流动池示意图。b)Ni1-N-C-50的FECO和CO电流密度(jCO)。c)Ni1-N-C-furnace的FECO和jCO。d)Ni1-N-C-50和Ni1-N-C-furnace在热解过程中jCO、时间和能耗的对比。
该工作开发了一种快速通用的微波辅助加热合成碳基SACs的方法。同时为大电流密度电催化CO2还原提供了一种能大规模合成、性能优异的催化剂。
该工作发表在Angew. Chem. Int. Ed.期刊上,通讯作者为中国科学技术大学江海龙教授、焦龙特任教授以及郑州大学臧双全教授,第一作者为文明博士。


如果涉及转载授权,请联系我们。

苏州地址:苏州工业园区方洲路128号 邮编:215125
电话:0512-87182055 邮箱:sales@yacoo.com.cn
宿迁地址:宿迁市宿豫区电商产业园谷客大厦(A9栋)一楼 邮编:223801
山东地址:山东济宁市新材料产业园区 邮编:272211
安徽地址:安徽安庆市安庆高新区皇冠路8号 邮编:246005
海外公司名称: Yacoo Science America LLC
海外地址:14 Cypress Bayou Court, Spring, TX 77382
© 2010 苏州亚科科技股份有限公司[苏ICP备15045967号]
亚科信息管理平台   用户登录   站内地图