结构搜索

    全站搜索

    在线客服

  •  诊断医药客服  新材料客服

    当前位置: 行业资讯

亚科科技泊利氯铵结构式表示的是什么?

2015-11-25 来源:转载自第三方

关键词:泊利氯铵;结构式

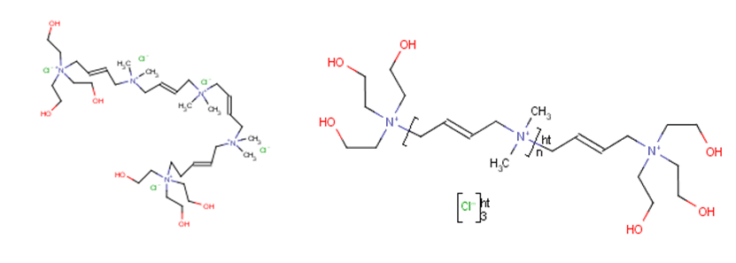
泊利氯铵(CAS号:75345-27-6)作为一种新型的聚季铵盐类抑菌剂在隐形眼镜护理液中得到广泛应用,但亚科科技在《亚科2014年10月研发新品--泊利氯铵(聚季铵盐-1) CAS号:75345-27-6》以及产品详细信息中所列的泊利氯铵的结构式让一些朋友颇为费解。
                     泊利氯铵结构图(1)                                                      泊利氯铵结构图(数据库)
事实上,对比数据库的泊利氯铵的结构式,我们可以发现,亚科科技的泊利氯铵的结构式并非错误,因为该结构式实际上是泊利氯铵单体的三聚体,三聚体泊利氯铵在作为药物辅料的同时,也可以用作表面活性剂,一般纯度可达98%,杂质以同系物为主。
泊利氯铵在国内目前还处于高难度研发项目,苏州亚科科技股份有限公司可提供该产品的定制合成服务,在国内同行中处于领先地位。
 
苏州亚科科技股份有限公司编辑
 
                      泊利氯胺| 75345-27-6 |产品质量检验说明书      
                      亚科2014年10月研发新品--泊利氯胺(聚季铵盐-1)               
 

如果涉及转载授权,请联系我们。

苏州地址:苏州工业园区方洲路128号 邮编:215125
电话:0512-87182055 邮箱:sales@yacoo.com.cn
宿迁地址:宿迁市宿豫区电商产业园谷客大厦(A9栋)一楼 邮编:223801
山东地址:山东济宁市新材料产业园区 邮编:272211
安徽地址:安徽安庆市安庆高新区皇冠路8号 邮编:246005
海外公司名称: Yacoo Science America LLC
海外地址:14 Cypress Bayou Court, Spring, TX 77382
© 2010 苏州亚科科技股份有限公司[苏ICP备15045967号]
亚科信息管理平台   用户登录   站内地图