产品搜索
结构搜索
全站搜索
当前位置: 技术支持
粘度与分子量的关系
实验原理
聚合物溶液的特点是黏度特别大,原因在于其分子链长度远大于溶剂分子,加上溶剂化作用,使其在流动时受到较大的内摩擦阻力。黏性液体在流动过程中,必须克服内摩擦阻力而做功。黏性液体在流动过程中所受阻力的大小可用黏度系数(简称黏度)来表示(kg·m-1·s-1)。
纯溶剂黏度反映了溶剂分子间的内摩擦力,记作η0,聚合物溶液的黏度η则是聚合物分子间的内摩擦、聚合物分子与溶剂分子间的内摩擦以及η0三者之和。在相同温度下,通常η>η0,相对于溶剂,溶液黏度增加的分数称为增比黏度,记作ηsp,即
溶液黏度与纯溶剂黏度的比值称作相对黏度,记作ηr,即
ηr反映的也是溶液的黏度行为;而ηsp则意味着已扣除了溶剂分子间的内摩擦效应,仅反映了聚合物分子与溶剂分子间和聚合物分子间的内摩擦效应。
聚合物溶液的增比黏度ηsp往往随质量浓度C的增加而增加。为了便于比较,将单位浓度下所显示的增比黏度ηsp /C称为比浓黏度,而1nηr/C则称为比浓黏度。当溶液无限稀释时,聚合物分子彼此相隔甚远,它们的相互作用可忽略,此时有关系式

[η]称为特性黏度,它反映的是无限稀释溶液中聚合物分子与溶剂分子间的内摩擦,其值取决于溶剂的性质及聚合物分子的大小和形态。由于ηr和ηsp均是无因次量,所以[η]的单位是质量浓度C单位的倒数。
在足够稀的聚合物溶液里,ηsp/C与C和ηr/C与C之间分别符合下述经验关系式:
ηsp/C=[η]+κ[η]2C
lnηr/C=[η]-β[η]2C
上两式中κ和β分别称为Huggins和Kramer常数。这是两直线方程,通过ηsp/C对C或lnηr/C对C作图,外推至C=0时所得截距即为[η]。显然,对于同一聚合物,由两线性方程作图外推所得截距交于同一点,如下图所示。
聚合物溶液的特性黏度[η]与聚合物相对分子质量之间的关系,通常用带有两个参数的Mark-Houwink经验方程式来表示:
![]()
式中
是黏均相对分子质量,K、α分别是与温度、聚合物及溶剂的性质有关的常数,只能通过一些绝对实验方法(如膜渗透压法、光散射法等)确定。
聚乙二醇水溶液在30℃时K=12.5×106m3·kg-1,α=0.78。
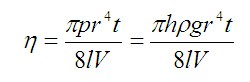
本实验采用毛细管法测定黏度,通过测定一定体积的液体流经一定长度和半径的毛细管所需时间而获得。当液体在重力作用下流经毛细管时,其遵守Poiseuille定律:

式中:η为液体的黏度,kg·m-1·s-1;
p为当液体流动时在毛细管两端间的压力差(即是液体密度ρ,重力加速度g和流经毛细管液体的平均液柱高度h这三者的乘积),kg·m-1·s-1;
r为毛细管的半径,m;V为流经毛细管的液体体积m3;t为V体积液体的流出时间,s;l为毛细管的长度,m。
用同一黏度计在相同条件下测定两个液体的黏度时,它们的黏度之比就等于密度与流出时间之比

如果用已知黏度η1的液体作为参考液体,则待测液体的黏度η2可通过上式求得。
在测定溶剂和溶液的相对黏度时,如溶液的浓度不大(C<1×10kg·m-3),溶液的密度与溶剂的密度可近似地看作相同,故,![]()
所以只需测定溶液和溶剂在毛细管中的流出时间就可得到ηr。