一、项目说明:
中文名称:异丙基-1-硫代-β-D-半乳糖吡喃糖苷
英文名称:
Isopropyl 1-Thio-β-D-galactopyranoside,Isopropyl-β-D-thiogalactopyranoside
结构式:.jpg)
分子式:C9H18O5S
分子量:238
Cas: 367-93-1
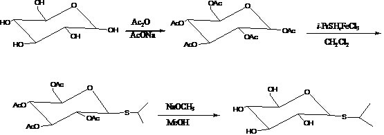
一、合成路线流程图:
.jpg)
三、实验参考
第一步:
操作过程:将葡萄糖( 36.36g, 0.20 mol)、 NaOAc( 4 g,48.8 mmol)及240 mL 醋酸酐置于圆底烧瓶中,搅拌加热,溶液逐渐由无色透明变为黄棕色。回流2h后,倒入 1200 mL冰水中,搅拌0.5h。有白色固体析出,过滤,用 30 mL无水乙醇重结晶, 得白色结晶 54g,收率为 70%。
第二步:
操作过程:将1,2,3,4,6 -五-O-乙酰基-β–D-吡喃型葡萄糖苷30g( 77mmol) 溶于400mL 二氯甲烷中,加入 10g 分子筛( 4 ?) 。将混合物冷却至-40°C,搅拌下加入 6ml( 50 mmol)四氯化锡及14.6mL异丙硫醇。保持-40°C反应8h。反应结束后在5-10°C下,加入10g固体NaHCO3,搅拌几分钟后,硅藻土过滤(漏斗上铺一层硅藻土),然后用8%的NaHCO3水溶液中和滤液,分液。油层再分别用8%的NaHCO3水溶液(100mL),水(100mL)洗涤两遍,然后无水MgSO4干燥,减压浓缩得到无色油状物22.6g。收率76%
第三步:
操作过程:将0.46g钠加入到20 mL无水甲醇中制得甲醇钠。然后将26g异丙基-2, 3, 4, 6-四-O-乙酰基-1-硫-β-D-吡喃型葡萄糖苷加入到甲醇钠溶液(90ml甲醇),室温搅拌过夜, 过滤, 滤液在搅拌下用阳离子交换树脂(氢型)中和。滤出树脂, 液体减压浓缩得到粘稠的浆状物17.6g(收率78%)