Search Product
Structure Search
Search
Advantage Products
Location: Thematic focus
Synthesis and application technology of EDOT
2019-05-09
来源:亚科官网
EDOT is the abbreviation for 3,4-ethylenedioxythiophene. Poly 3,4-ethylenedioxythiophene (PEDOT) has the advantages of low energy gap, low electrochemical doping potential, short response time, high color contrast and good stability, and is currently the research hotspots in international organic electrochromic material. Poly 3,4-ethylenedioxythiophene (PEDOT) undergoes a reversible color change between sky blue and transparent under an applied electric field. EDOT is a monomeric material of PEDOT, and a PEDOT film can be prepared by electrochemical polymerization. EDOT is widely used in the modern electronics industry to synthesize conductive polymers.
Synthesis process of EDOT
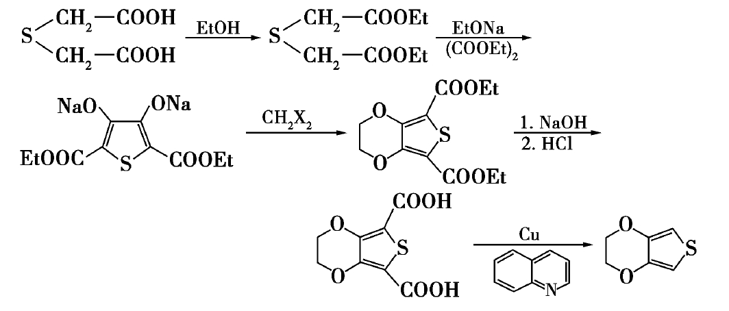
The first step: the reaction of thiodiglycol with ethanol to obtain diethyl thiodiglycolate;
The second step: reacting with diethyl oxalate and sodium ethoxide to obtain diethyl 2,5-dicarboxylate-3,4-dihydroxy sodium thiophene;
The third step: under the action of a dihaloalkane, the formation of diethyl 2,5-dicarboxylate-3,4-ethylenedioxythiophene;
The fourth step: respectively through alkalization and acidification, to obtain 2,5-dicarboxy-3,4-ethylenedioxythiophene;
The fifth step: adding a catalyst such as quinoline and a catalyst such as copper to carry out a decarboxylation reaction to obtain a final product EDOT. The synthetic route is shown below:
.jpg)
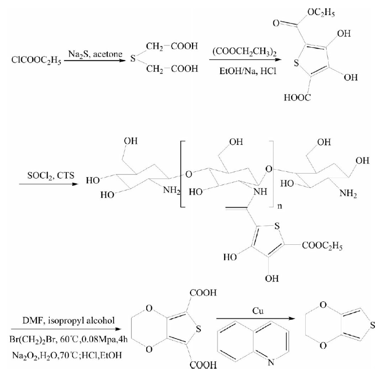
The synthesis process is relatively mature, but the reaction route is too long, which leads to problems such as low yield of the final product EDOT and cumbersome separation and purification of the intermediate. In addition, the raw material thiodiglycol is also not easy to purchase. Therefore, the researchers have improved it , using ethyl chloroacetate as raw material, through Claisen ester condensation, acid chloride, chitosan amidation-oxygen plan combined reaction, and 1,2-dibromoethane The O-alkylation reaction takes place in DMF, and then EDOT is prepared by acidic hydrolysis and decarboxylation. The entire synthesis process takes a short time, does not require the use of a phase transfer catalyst, and the reaction is carried out in a homogeneous system with a total yield of 36.3%.
.jpg)
The application of EDOT
3,4-ethylenedioxythiophene can be used as a synthetic polythiophene or oligothiophenolic organic electroactive material such as an organic conductive polymer material, an optoelectronic material, or the like. The most typical representative is poly(3,4-ethylenedioxythiophene), and poly(3,4-ethylenedioxythiophene) has caused a boom in research due to its superior electrical conductivity. It was first developed in the second half of the 1980s by the internationally renowned company Bayer. It has been found that there are low energy gap, low electrochemical doping potential, short response time, high conductivity and transmittance, good transparency and water resistance, good stability to light and heat.
Related links: EDOT
Edited by Suzhou Yacoo Science Co., Ltd.