产品搜索
结构搜索
全站搜索
当前位置: 专题聚焦
一种异丙基-β-D-硫代半乳糖苷(IPTG)367-93-1 的合成方法
2020-03-03
来源:亚科官网
异丙基-β-D-硫代半乳糖苷,简称IPTG,CAS:367-93-1 ,是一种优秀的诱导剂。异丙基-β-D-硫代半乳糖苷(IPTG)不易被细菌代谢,可诱导外源基因表达,普遍用于原核表达系统。异丙基-β-D-硫代半乳糖苷(IPTG)不仅在生化实验室、生物医药领域有广泛的应用,近年来,还常被用于氨基酸的工业化生产中,市场需求日益增长。
目前异丙基-β-D-硫代半乳糖苷(IPTG)的价格较高,这与其制备成本有很大关系。而随着市场需求的增长,操作简便、原料易得、生产成本低的合成工艺越来越成为众多厂家的追求。
本文将介绍一种异丙基-β-D-硫代半乳糖苷的合成方法,步骤如下:
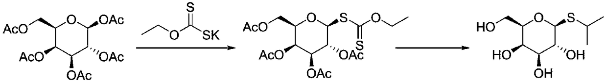
步骤一:将β-D-半乳糖五乙酸酯溶于二氯甲烷、三氯甲烷或1,2- 二氯乙烷中任一种有机溶剂中,加入路易斯酸(三氟化硼乙醚、三氯化铝、氯化锌任一种)催化剂和乙基黄原酸钾或乙基黄原酸钠进行反应,处理后得到四乙酰基半乳糖乙基黄原酸酯;
步骤二:20℃至80℃温度下,将四乙酰基半乳糖乙基黄原酸酯、2-溴丙烷和碳酸钠溶于甲醇或乙醇中进行反应4-6小时,处理后得到异丙基-β-D-硫代半乳糖苷。合成路线如下:

这种异丙基-β-D-硫代半乳糖苷(IPTG)的合成方法不仅原料易得,操作过程简便,而且避免了使用气味极其难闻、易扩散且毒性较大的2-丙硫醇,更加安全环保,同时具有收率较高,成本低的优点。
参考文献:余书强.一种异丙基-β-D-硫代半乳糖苷的合成方法.CN108752399A