Search Product
Structure Search
Search
Advantage Products
Location: Thematic focus
The main preparation method of tris (2-carboxyethyl) phosphine hydrochloride(TCEP-HCI)
Tris(2-carbonylethyl)phosphoric acid hydrochloride (TCEP-HCI) is a novel reducing agent and deprotecting agent for thiolated DNA. Tris(2-carbonylethyl)phosphoric acid hydrochloride (TCEP HCI) is more stable and more compatible than the conventional reducing agent and deprotecting agent mercaptoethanol or dithiothreitol (DTT). TCEP-HCI is recognized as an ideal reducing agent without any irritating odor .
At present, there are mainly the following methods for the synthesis route of tris(2-carbonylethyl)phosphoric acid hydrochloride (TCEP -HCI):
The first method: Reacting phosphine with phosphine PH 3 as a raw material in an autoclave, followed by hydrolysis to obtain tris(2-carbonylethyl)phosphoric acid hydrochloride (TCEP-HCI). Although this method has a high yield, the autoclave and the highly toxic gas phosphine need to be used in the reaction process, and the risk factor is high, which is not conducive to industrial production.

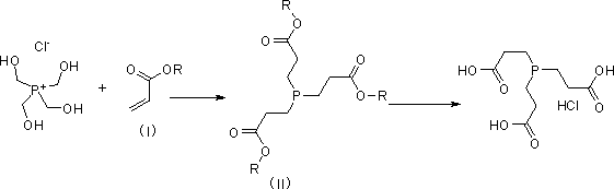
The second method: Using tetramethylolphosphonium chloride as a raw material to react with acrylonitrile. Finally, it was hydrolyzed with concentrated hydrochloric acid to give the product. The steps of this method are simple, but it uses tetramethylolphosphonium chloride to replace the highly toxic gas phosphine to synthesize tricyanoethylphosphine, but tris-cyanoethyl phosphate is hydrolyzed to give tris(2-carbonylethyl)phosphoric acid hydrochloride (TCEP). A solid mixture of hydrochloride and ammonium chloride, the two salts of the mixture can not achieve effective separation, the product purity is low.

The third method: talkylation reaction of tetramethylolphosphorus chloride and the compound in an organic solvent in the presence of a base yields trimethyl 3, 3 ', 3' '-phosphine triyl tripropionate, Then hydrolysis reaction occurs in concentrated hydrochloric acid to obtain the compound TCEP-HCl. This method is easy to operate, has low cost and high yield, and is suitable for industrial production.

Related links: tris (2-carboxyethyl) phosphine hydrochloride(TCEP-HCl)