结构搜索

    全站搜索

    在线客服

  •  诊断医药客服  新材料客服

    当前位置: 专题聚焦

β-烟酰胺单核苷酸的合成途径有哪些?

2020-06-28 来源:亚科官网

β-烟酰胺单核苷酸对人体细胞有重要的生理功能,与人的免疫、代谢息息相关。研究表明,β-烟酰胺单核苷酸能够延缓衰老,具有特殊的医疗应用价值,人们致力于开发高效的合成方法来实现大规模生产β-烟酰胺单核苷酸。

目前β-烟酰胺单核苷酸的合成主要有两种途径,包括生物合成和化学合成。

生物合成法,通常以烟酰胺和5’-磷酸核糖基-1’-焦磷酸作为底物,在烟酰胺磷酸核糖转移酶的作用下催化制备β-烟酰胺单核苷酸。这种方法酶的价格较高,而且来源有限,一般具有产能较低,生产成本较高的缺点,近年来,通过研发改进,生物合成法制备β-烟酰胺单核苷酸的产率得到提高,成本也逐渐降低。

比如竺伟、张小飞开发的“固定化全细胞一步酶法”就有效提高了β-烟酰胺单核苷酸的酶法合成量和转化率,固定化全细胞的反复使用,降低了反应复杂度和生产成本。他们以烟酰胺、ATP和木糖为原料,在烟酰胺磷酸核糖转移酶、核糖磷酸焦磷酸激酶、核糖-5-磷酸异构酶、核酮糖-3-磷酸异构酶、木酮糖激酶以及木糖异构酶的催化作用下发生反应,制得烟酰胺单核苷酸,合成路线如下:

 

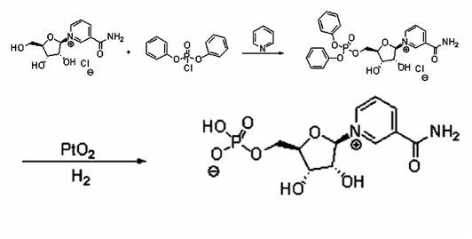
化学合成法一般选择具有呋喃糖结构的物质为底物,经过多步官能团转换得到β-烟酰胺单核苷酸分子骨架,再经树脂柱洗脱得到β-烟酰胺单核苷酸水溶液产品。该方法合成路线选择余地较大,原料来源相对广泛,但存在步骤繁多,产率及纯度不高且易造成环境污染等缺点,杜小兰,程进为解决这些缺点,设计了一种新的化学合成方法,不仅操作简单,而且易放大生产,成本低,成品质量好。

他们通过将β?烟酰胺核糖和氯磷酸二苯酯经过酯化反应,然后再水解脱苯基反应等主要步骤制得β?烟酰胺单核苷酸。合成路线如下:

 

以上就是β-烟酰胺单核苷酸的两种重要合成途径,各有优劣,以后将有更多精湛的制备工艺出现,实现β-烟酰胺单核苷酸的高收率、高纯度、低成本的工业化生产。

相关链接:β-烟酰胺单核苷酸



苏州地址:苏州工业园区方洲路128号 邮编:215125
电话:0512-87182055 邮箱:sales@yacoo.com.cn
宿迁地址:宿迁市宿豫区电商产业园谷客大厦(A9栋)一楼 邮编:223801
山东地址:山东济宁市新材料产业园区 邮编:272211
安徽地址:安徽安庆市安庆高新区皇冠路8号 邮编:246005
海外公司名称: Yacoo Science America LLC
海外地址:14 Cypress Bayou Court, Spring, TX 77382
© 2010 苏州亚科科技股份有限公司[苏ICP备15045967号]
亚科信息管理平台   用户登录   站内地图