结构搜索

    全站搜索

    在线客服

  •  诊断医药客服  新材料客服

    当前位置: 专题聚焦

吖啶酯类化合物之吖啶盐DMAE-NHS的合成工艺

2020-08-12 来源:亚科官网

吖啶酯类化合物是一种非常有效的化学发光标记物质,具有发光强大且稳定,所受干扰因素少,信噪比高等特点,并且对于仪器的要求相对简单,检测的灵敏度和精密度高,有利于实现全自动化操作,在化学发光免疫分析中有着重要的作用。

吖啶酯是吖啶盐的一个总称,指一类可用作化学发光标记物的化学物质,吖啶酯有多个不同的系列,包括吖啶盐DMAE-NHS、吖啶酯NSP-DMAE-NHS、吖啶盐NSP-SA等,接下来将介绍吖啶盐DMAE-NHS的合成方法。

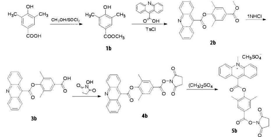
根据已公开报道,目前制备吖啶盐DMAE-NHS最广泛的工艺,是归纳为七步法反应的方法。针对该方法存在的反应步骤复杂,原料试剂成本昂贵,不利于规模化制备的不足,叶剑锋等人在原有文献的基础上,对传统七步法进行优化,开发出了五步化学反应制备吖啶盐的新方法。他们以3,5-二甲基-4-羟基苯甲酸和吖啶9羧酸为起始原料,经过酯化,缩合,水解,琥珀酰亚胺化及甲基化5步合成反应,最终得到目标产物吖啶盐DMAE-NHS,其纯度达到98%以上。

 

该方法合成步骤少,反应操作简单,易于实施,省去了原有路线中昂贵试剂和溴化氢醋酸溶液的使用,而且终产品不需柱层析纯化,既节约了成本又减轻了对环境污染,便于规模化制备。

吖啶酯发光体系优势明显,在体外诊断方面具有更好的灵敏性,目前应用吖啶酯化学发光免疫分析技术已逐渐发展为医药检测、诊断分析、环境检测、食品检测等领域的一种趋势。亚科科技提供质量可靠的吖啶酯、吖啶盐产品,可满足科研机构和试剂盒生产企业的科研、生产需求。

相关链接:吖啶酯吖啶盐

参考文献:叶建峰,熊宁,徐建国.化学发光试剂吖啶酯DMAE—NHS的合成新方法[J]精细与专用化学品.2018.04(26):33-35



苏州地址:苏州工业园区方洲路128号 邮编:215125
电话:0512-87182055 邮箱:sales@yacoo.com.cn
宿迁地址:宿迁市宿豫区电商产业园谷客大厦(A9栋)一楼 邮编:223801
山东地址:山东济宁市新材料产业园区 邮编:272211
安徽地址:安徽安庆市安庆高新区皇冠路8号 邮编:246005
海外公司名称: Yacoo Science America LLC
海外地址:14 Cypress Bayou Court, Spring, TX 77382
© 2010 苏州亚科科技股份有限公司[苏ICP备15045967号]
亚科信息管理平台   用户登录   站内地图