产品搜索
结构搜索
全站搜索
当前位置: 专题聚焦
甲醇高选择性转化制乙烯接力催化路
本文转自x-mol
英文原题:Relay Catalysis for Highly Selective Conversion of Methanol to Ethylene in Syngas

作者:Kuo Chen, Fenfang Wang, Yu Wang, Fuyong Zhang, Xinyu Huang, Jincan Kang*, Qinghong Zhang* and Ye Wang*
通讯作者:王野(厦门大学)、张庆红(厦门大学)、康金灿(厦门大学)

研究背景
甲醇作为一种丰富而廉价的C₁原料,不仅可以通过合成气(H₂/CO)从各种碳资源中提取,如天然气或页岩气、煤炭和生物质,还可以通过“液体阳光”策略从二氧化碳和可再生太阳能中提取。在碳中和背景下,利用甲醇替代原油生产化学品极具吸引力。乙烯(C₂H₄)是需求量最大的化工原料之一,年产量超过1.5亿吨,已被广泛用于制造塑料、纤维和其他高值化学品。以CH₃OH、CO、CO₂等C₁分子为原料合成C₂H₄引起广泛关注,其中甲醇制烯烃(MTO)是最为典型的过程。在MTO反应中,通过调变小孔沸石的笼或腔,C₂−C₄烯烃(C2−4=)的选择性可达~90%,然而C₂H₄选择性通常被限制在~45%。如何实现甲醇精准C−C偶联、高选择性合成乙烯,极具挑战。
本文亮点
近日,厦门大学王野教授团队,发展了一种合成气气氛下甲醇转化制乙烯的接力催化路线,成功实现乙烯的高选择性合成。该路线以CH₃OH和合成气(CO/H₂)为原料,通过实施CH₃OH与CO羰基化与乙酸加氢反应的可控接力催化,选择性合成乙烯。在构建的MOR分子筛+ ZnO−TiO₂氧化物催化剂上,CH₃OH转化率接近100%,C₂H₄选择性高达85%。该工作不仅丰富了乙烯的合成路线,同时也为C₁分子精准C−C偶联合成C₂产物提供了一种新方法。
图文解读

图1. 沸石分子筛上甲醇羰基化和加氢催化剂上乙酸、乙烯加氢反应性能. (a) CH₃OH和CO羰基化反应; (b) 合成气中CH₃OH羰基化反应; (c) 乙酸加氢反应; (d) 乙烯加氢反应。
在CO气氛中,H-ZSM-35以及H-MOR分子筛,通过Koch-type反应,催化甲醇羰基化反应生成乙酸(AA)和乙酸甲酯(MA)(图1a)。H-MOR分子筛十二元环(12-MR)孔道中的B酸会催化甲醇制烃类(MTH)副反应。因此,通过选择性移除12-MR中的骨架铝获得的H-MOR−DA分子筛上,AA选择性提高至82%,此时MA+AA总选择性达到91%(图1a)。在合成气气氛中,H₂的存在可抑制MTH,因此H-ZSM-35、H-MOR和H-MOR−DA表现出更高的AA+MA选择性(图1b)。在H-MOR−DA分子筛上,AA以及AA+MA总选择性分别达到85%以及94%。
乙酸加氢反应性能研究发现,Pt−Sn/SiO₂催化剂上主要得到乙醇,ZnO基二元金属氧化物中ZnO−ZrO₂和ZnO−TiO₂表现出较好的乙酸加氢制乙烯性能;ZnO−TiO₂催化剂上主要产物为乙烯,选择性可达到83%(图1c)。乙烯加氢反应表明,Pt−Sn/SiO₂催化剂上乙烯加氢转化为乙烷,ZnO基二元金属氧化物表现出较弱的乙烯加氢活性(图1d)。这表明,ZnO−TiO₂金属氧化物不仅具有良好的加氢脱氧能力,且可以抑制C₂H₄加氢为C₂H₆。

图2. 双功能催化剂上合成气气氛中甲醇催化转化性能
将H-MOR−DA分子筛和Pt−Sn/SiO₂或二元金属氧化物组合为双功能催化剂,进一步实施合成气气氛中CH₃OH催化转化反应。结果表明(图2a),H-MOR−DA+Pt−Sn/SiO₂催化剂上有较高含量的C₂H₆生成,而H-MOR−DA+ZnO−ZrO₂和H-MOR−DA+ZnO−TiO₂双功能催化剂上C₂H₄选择性均高于60%,且H-MOR−DA+ZnO−TiO₂催化剂具有最高的C₂H₄选择性。研究发现,ZnO的含量对于C₂H₄的选择性生成至关重要(图2b)。TiO₂中加入10 wt%的ZnO时,C₂H₄选择性达到最高,为85%;ZnO含量过高(20 wt%)则引起C₂H₄过度加氢为C₂H₆。另一方面,H-MOR−DA+Pt−Sn/SiO₂催化剂极不稳定(图2c),而H-MOR−DA+ZnO−TiO₂催化剂则表现出良好的稳定性(图2d)。研究结果表明,乙酸中间体加氢生成的H₂O对H-MOR−DA具有毒化作用,进而导致H-MOR−DA+Pt−Sn/SiO₂催化剂失活,而H-MOR−DA+ZnO−TiO₂催化剂中的ZnO−TiO₂可将H₂O通过WGS反应转化为CO₂,进而抑制了H₂O对分子筛的毒化作用,提高H-MOR−DA+ZnO−TiO₂催化剂的稳定性。

图3. H₂-D₂交换速率以及乙酸吸附FT-IR
H₂的活化是二元金属氧化物催化乙酸加氢反应的关键步骤之一。H₂−D₂交换反应表明,ZnO的引入极大提高金属氧化物的氢气活化能力(图3a);随着ZnO含量增加,ZnO−TiO₂催化剂的H₂活化能力增强(图3b)。此前结果表明,ZnO−SiO₂催化剂在乙酸加氢中活性最低,而其相较于ZnO−TiO₂催化剂却表现出更高的H₂−D₂交换能力。可见,在乙酸加氢反应中,除了H₂活化,还存在其它关键因素。乙酸吸附FT−IR结果表明,在温度<373 K时,ZnO−SiO₂表面可以观察到乙酸盐物种以及弱吸附的乙酸物种;当温度≥573 K时,两种吸附物种几乎完全消失(图3c)。ZnO−TiO₂表面只观察到乙酸盐物种,并且该物种在温度≤673 K时还可以稳定存在(图3d)。这一结果表明,相较于ZnO−SiO₂催化剂,ZnO−TiO₂具有更强的乙酸吸附性能,这一独特的乙酸吸附性能可能源于TiO₂的表面特性。

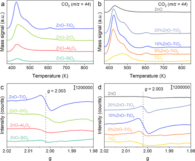
图4. CO₂-TPD和EPR表征结果
酸性探针分子CO₂程序升温脱附表征结果显示,相较于其他ZnO基二元金属氧化物,ZnO−TiO₂金属氧化物上具有较强的CO₂吸附能力(图4a),且在ZnO含量为10%时CO₂的吸附量最大(图4b)。EPR表征表明,ZnO−TiO₂金属氧化物的氧空穴数量最多(图4c、d)。可见,金属氧化物催化剂上的氧空穴主要负责酸性分子的吸附和活化,而ZnO的引入提高H₂吸附活化能力,进而促进接力催化过程乙酸选择性加氢为C₂H₄。
总结与展望
这项工作提出了一种甲醇高选择性合成乙烯的接力催化新途径,通过设计反应路线和高性能催化剂,实现乙烯的高选择性合成,显著高于当前MTO过程的乙烯选择性。尽管该途径还存在原料气中CO/CH₃OH比偏高和需要考虑C₂H₄和CO的分离等问题,但该接力催化方法为C₁分子精准C−C偶联制C₂化合物提供了一条具有借鉴意义的新思路。这一成果以“Relay Catalysis for Highly Selective Conversion of Methanol to Ethylene in Syngas”为题发表在JACS Au 期刊上(JACS Au 2023, 3, 2894−2904),并被遴选为Editors’ Choice和封面文章(Supplementary Cover)。文章第一作者为厦门大学的陈阔博士研究生,通讯作者为厦门大学的王野教授、张庆红教授和康金灿高级工程师。