结构搜索

    全站搜索

    在线客服

  •  诊断医药客服  新材料客服

    当前位置: 专题聚焦

铁/钴协同催化合成远端不饱和酰胺衍生物

2024-03-01 来源:亚科官网

本文转自x-mol
不饱和酰胺是天然产物和生物活性分子中常见的官能团,也是一种重要的多功能合成结构单元。合成此类烯烃的经典方法,比如氯代烃和醇的消除反应、Wittig反应等等,常常依赖于预先官能化的底物。为此,化学家们一直乐于探索一种更为有效的去饱和策略来直接完成此类转化。时至今日,过渡金属催化的羰基烷烃的α,β-脱饱和研究取得了很大进展。但是,由于羰基化合物远端C(sp3)–H键能较高(~101 kcal/mol),此类远端去饱和反应极具挑战性。在为数不多的远程和催化去饱和的例子中,氢原子转移(HAT)是一种有效的策略。这种方法基于通过氧化或还原自由基前体而原位生成的高活性自由基中间体(图1a)。例如,1)铜催化过氧化物前体形成的O-centered自由基;2)来源于N–F或者N–O前体的N-centered自由基;3)基于芳基或者烷基的C-centered自由基。利用这些高能的自由基物种,不仅克服了活化C(sp3)–H键的热力学障碍,而且也会面临较小的动力学能垒。
近日,美国犹他州立大学的李刚团队和哥伦比亚大学的Jack Norton团队联合开发了一种极具吸引力的,直接将原料脂肪族分子转化为特殊烯基结构的方法(图1b)。该策略基于铁氮宾I介导的1,5-HAT过程,成功得到所需的远端碳自由基II(C-centered radical)。随后,协同的钴催化剂(cobaloxime)从邻近该碳自由基的碳氢键(BDE = 35 kcal/mol)中二次攫取氢原子,从而在温和条件下高效生成β,γ-或γ,δ-不饱和酰胺衍生物。该策略也能被用于合成不饱的氨基甲酸酯和尿素类衍生物,进一步展现出该方法的普适性。

图1. 基于HAT的去饱和反应。

铁/钴共催化的去饱和反应具有宽泛的底物适用范围和优秀的官能团耐受性。简单的线性脂肪族底物在标准条件下,优先生成γ,δ-去饱和产物而不是β,γ-去饱和产物,这归因于δ位的碳氢键相对较弱(1-9,图2A)。碳链上的各种取代基 (氯、苯基、烷基等) 都能很好地耐受该反应,尽管α-甲基取代的底物由于Curtius重排以较低的产率生成不饱和产物8。同样地,各种环烷基底物也以良好的区域选择性 (高达7:1) 提供了γ,δ-不饱和产物 (10-12和14)。如果在δ位置存在一个大位阻的基团,则优先形成β,γ-不饱和产物13 (90%,rr = 1:2.3)。此外,在最佳条件下,天然的香茅酸衍生物也成功地完成了去饱和转化。

图2. 去饱和反应底物范围。

紧接着,作者对芳基底物的适用性进行了考察。各种芳基取代基底物对该共催化体系表现出了优异的适用性,以优秀的产率生成了相应的β,γ-不饱和产物(16-30,图2B)。在工业化生产中,高价值的乙烯基衍生物 ,如31和32,通常需要氧化铁在极高的温度下催化生成。而该铁钴协同催化的脱饱和方案允许其在温和条件下以接近定量的产率被获取。
与合成单烯烃形成鲜明对比的是,通过氢原子转移合成共轭二烯或烯炔类衍生物的方法仍未得到充分开发。令人心喜的是,该铁钴协同催化策略可以被完美地应用到1,3-共轭二烯或烯炔的合成(33-45,图2C)。不论是富电子或者缺电子的产物,亦或是末端二烯均能以优秀的产率获得。值得一提的是,含有炔基的底物主要生成热力学不稳定的Z构型烯炔(44, 87%, E/Z = 0.24; 45, 70%, E/Z = 0.3)。作者将其归因于钴的攫氢过程中,铁和碳碳三键之间的配位作用,使得cis碳氢键上的氢原子更容易被攫取。
由于其温和的催化条件和良好的官能团相容性,这种铁/钴协同催化方法还被用于不饱和氨基甲酸酯和尿素类的简洁高效合成(46-52,图3)。

图3. 氨基甲酸酯和尿素类衍生物的去饱和反应

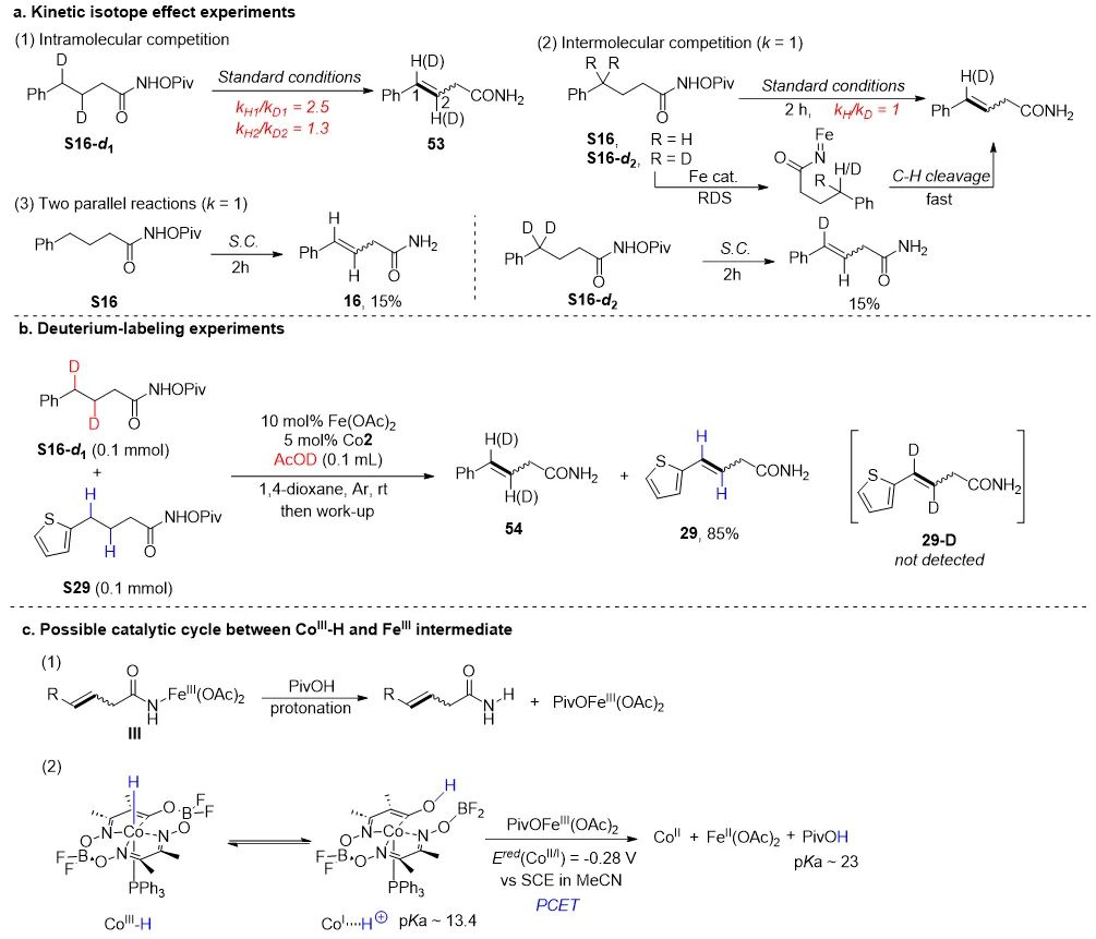
为了探究反应机理,作者进行了一系列控制实验(图4)。通过KIE实验和氘代标记实验,作者证明该反应的决速步是铁氮宾中间体I的生成,且两次攫氢过程都是不可逆的。此外,作者着重介绍了中间体CoIII-H和PivOFeIII(OAc)2物种的催化循环过程(质子耦合电子转移,PCET)。其中,三价的CoIII-H可以互变异构为一价的CoI(H+),该物种具有较强的酸性(pKa = 13.4 in MeCN)和还原性(Ered[CoII/CoI]= - 0.28 V versus SCE in MeCN)。CoI(H+)可以给出质子(H+)将PivOFeIII(OAc)2质子化(质子转移,PT)。随后,转移一个电子(ET)到FeIII,从而再生CoII和FeII催化剂(图4c)。

图4. 机理实验与质子耦合电子转移过程

最后,基于机理实验和先例,作者提出了可能的反应机理(图5)。铁催化剂首先与氮宾前体反应生成铁氮宾中间体I。该高活性的中间体I通过1,5-HAT选择性地攫取γ-氢原子,从而形成碳自由基中间体II。随后,由钴催化剂从中间体II中攫取第二个氢原子得到去饱和中间体III和CoIII−H。最后,CoIII−H和PivOFeIII(OAc)2通过质子耦合电子转移过程实现催化剂再生。

图5. 铁钴共催化的酰胺远端去饱和反应机理

这一成果近期发表在Journal of the American Chemical Society 上,文章的第一作者是哥伦比亚大学化学系博士后研究员博士,通讯作者为犹他州立大学化学与生物化学系助理教授李刚博士和哥伦比亚大学化学系Jack R. Norton教授。



苏州地址:苏州工业园区方洲路128号 邮编:215125
电话:0512-87182055 邮箱:sales@yacoo.com.cn
宿迁地址:宿迁市宿豫区电商产业园谷客大厦(A9栋)一楼 邮编:223801
山东地址:山东济宁市新材料产业园区 邮编:272211
安徽地址:安徽安庆市安庆高新区皇冠路8号 邮编:246005
海外公司名称: Yacoo Science America LLC
海外地址:14 Cypress Bayou Court, Spring, TX 77382
© 2010 苏州亚科科技股份有限公司[苏ICP备15045967号]
亚科信息管理平台   用户登录   站内地图