产品搜索
结构搜索
全站搜索
当前位置: 专题聚焦
EDOT的工艺和成以及应用技术
2019-05-09
来源:亚科官网
EDOT是3,4-乙烯二氧噻吩或3,4-乙烯二氧噻吩的英文简称。聚3,4-乙撑二氧噻吩(PEDOT)具有能隙低、电化学掺杂电位低、响应时间短、颜色变化对比度高、稳定性好等优点,是目前国际上有机电致变色材料的研究热点。聚3,4-乙撑二氧噻吩(PEDOT)在外加电场作用下能在天蓝色和透明之间发生可逆的颜色变化。EDOT是PEDOT的单体材料,可通过电化学聚合的方法来制备PEDOT薄膜。EDOT在现代电子工业被广泛用来合成导电聚合物。
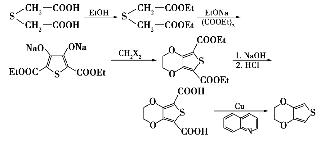
EDOT的合成工艺
第一步:硫代二甘酸与乙醇反应得到硫代二甘酸二乙酯;
第二步:再与草酸二乙酯、乙醇钠反应,得到2,5-二羧酸二乙酯-3,4-二羟基钠噻吩;
第三步:在二卤代烷烃的作用下,生成2,5-二羧酸二乙酯-3,4-乙撑二氧噻吩;
第四步:分别通过碱化与酸化作用,得到2,5-二羧基-3,4-乙撑二氧噻吩;
第五步:加入喹啉等溶剂和铜等催化剂进行脱羧反应,得到最终产物EDOT。合成路线如下图所示:
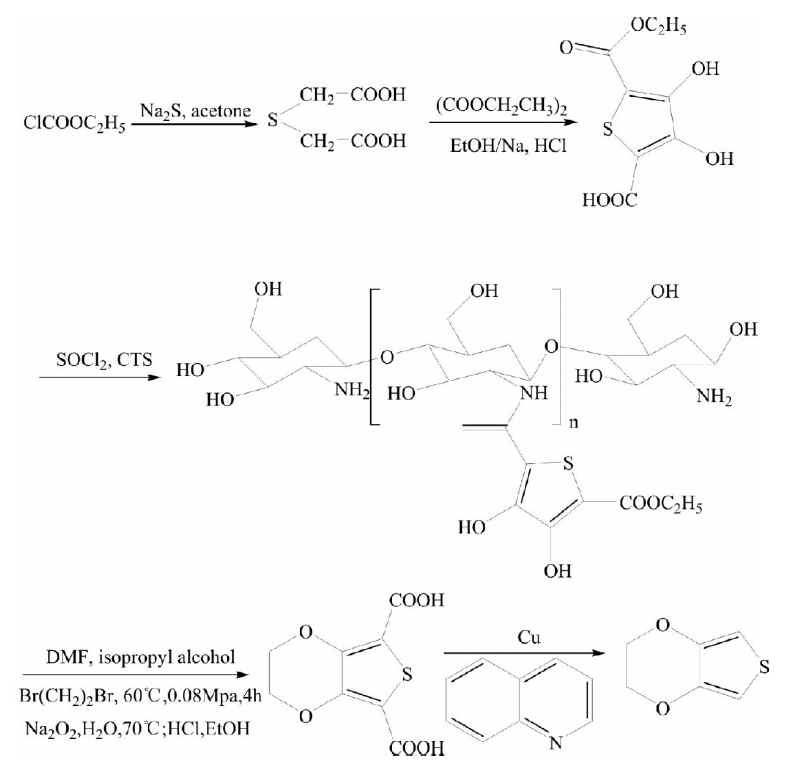
该合成方法工艺较为成熟,但反应路线太长,导致终产物EDOT收率偏低、中间体提纯分离比较繁琐等问题。此外原料硫代二甘酸也不易购买。因此研究人员对其进行了改进[2],采用氯乙酸乙酯为原料,通过Claisen酯缩合、酰氯化,壳聚糖酰胺化-氧烷计划联合反应,再与1,2-二溴乙烷在DMF中发生O-烷基化反应,然后通过酸性水解、脱羧反应制备得EDOT。整个合成过程所需时间短,不需要使用相转移催化剂,反应在均相体系中进行,总产率达36.3%。
.jpg)
EDOT的应用
3,4-乙烯二氧噻酚可以用作合成聚噻酚或低聚噻酚类有机电活性材料如有机导电高分子材料、光电材料等。其中最典型的代表就是聚(3,4-乙烯二氧噻酚),聚3,4-乙稀二氧噻酚因其优越的导电性能,引起了人们研究的热潮。最早是在20世纪80年代后半期,由国际著名公司德国拜尔开发出来的。经研究发现有能隙低、电化学掺杂电位低、响应时间短、导电率及透射率高、透明性及耐水性好、对光以及热都具有良好的稳定性、导电性不会因为的升高而下降。
相关链接:EDOT