结构搜索

    全站搜索

    在线客服

  •  诊断医药客服  新材料客服

    当前位置: 专题聚焦

三(2-羰基乙基)磷盐酸盐(TCEP-HCl)的主要合成路线

2020-04-23 来源:亚科官网

(2-羰基乙基)磷盐酸盐(TCEP-HCl)是一种新型的巯基化DNA的还原剂和去保护剂,与巯基化DNA的传统还原剂和去保护剂巯基乙醇或二硫苏糖醇(DTT)相比,具有更高的稳定性、更广的兼容性和更高的还原能力,且没有任何刺激性气味,是公认的理想还原试剂。

目前,三(2-羰基乙基)磷盐酸盐(TCEP-HCl)合成路线主要有以下几种方法:

方法一:以磷化氢PH 3 为原料在高压釜中与丙烯氰反应,然后水解得到三(2-羰基乙基)磷盐酸盐(TCEP-HCl)。该方法虽然收率较高,但反应过程中需要使用高压釜以及剧毒气体磷化氢,危险系数高,不利于工业化生产。

 

方法二:以四羟甲基氯化磷为原料,使其与丙烯氰反应,最后再用浓盐酸水解得到产物。该路线步骤简单,但是过程中产生的三氰基乙基磷酸性水解后得到三(2-羰基乙基)磷盐酸盐(TCEP-HCl)和氯化铵固体混合物,两种盐混合物无法实现有效分离,产物纯度低。

 

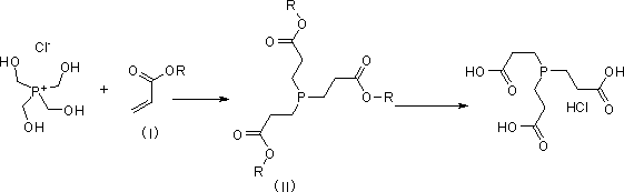
方法三:以四羟甲基氯化磷与化合物在有机溶剂中在碱存在的条件下发生烷基化反应,得到三甲基3, 3', 3''-膦三基三丙酸酯,然后在浓盐酸中发生水解反应,得到化合物(2-羰基乙基)磷盐酸盐(TCEP-HCl)。这种方法操作简便,成本低,产率高,适宜于工业化生产。

 

相关链接:(2-羰基乙基)磷盐酸盐(TCEP-HCl)

 



苏州地址:苏州工业园区方洲路128号 邮编:215125
电话:0512-87182055 邮箱:sales@yacoo.com.cn
宿迁地址:宿迁市宿豫区电商产业园谷客大厦(A9栋)一楼 邮编:223801
山东地址:山东济宁市新材料产业园区 邮编:272211
安徽地址:安徽安庆市安庆高新区皇冠路8号 邮编:246005
海外公司名称: Yacoo Science America LLC
海外地址:14 Cypress Bayou Court, Spring, TX 77382
© 2010 苏州亚科科技股份有限公司[苏ICP备15045967号]
亚科信息管理平台   用户登录   站内地图